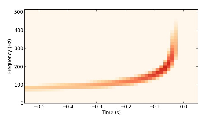
BayesWaveLast updated on Dec 8, 2023 Reconstructed binary neutron star signal by BayesWave.For more details, read our article published on CQG: link or free-access version on ArXiv: link.Python SciPy NumPy MatlabRonaldas MacasData Scientist @ NasdaqApplying my experience in gravitational-wave astronomy and machine learning to data science problems.RelatedBayesian inference analysis of unmodelled gravitational-wave transientsGLADE+: An extended galaxy catalogue for multimessenger searches with Advanced gravitational-wave detectorsSearch for gravitational waves associated with Gamma-ray bursts detected by Fermi and Swift during the LIGO-Virgo run O3bSearch for gravitational waves associated with Gamma-ray bursts detected by Fermi and Swift during the LIGO–Virgo run O3aLIGO detector characterization in the second and third observing runsPublicationsBayesian inference analysis of unmodelled gravitational-wave transientsWe report the results of an in-depth analysis of the parameter estimation capabilities of BayesWave, an algorithm for the …Francesco Pannarale, Ronaldas Macas, Patrick SuttonPDF Cite Project DOI